Tutorial de Trading com Grid spot

2026-02-09 UTC
117.589 Lido
412

1. O que é um bot de Grid spot?

Os bots Grid spot são bots de negociação automatizados projetados para vender alto e comprar baixo em mercados volúveis.

Um bot irá trabalhar para você assim que você completar a configuração dos parâmetros.

Uma vez iniciado, o bot dividirá seu investimento em várias partes, comprando em estágios quando os preços estão caindo e vendendo em estágios quando os preços estão subindo, aproveitando continuamente as flutuações do mercado para alcançar ganhos por meio de comprar baixo e vender alto.

2. Explicação do Grid spot

Vantagens:

Os bots Grid spot, amigáveis para iniciantes, não possuem emoções humanas como medo ou ganância, evitando a venda em pânico que a tomada de decisões emocionais causa em mercados volúveis. O bot opera 24 horas por dia, garantindo que nenhuma oportunidade de negociação seja perdida.

1.Em mercados volúveis e em alta: os usuários podem alcançar lucros duplos com o aumento dos preços das moedas e a arbitragem da volatilidade.

2.Em mercados volúveis e em queda: os usuários podem reduzir perdas por meio da arbitragem da volatilidade.
Desvantagens:

No entanto, o trading com Grid spot nem sempre é útil, pois só é possível realizar operações de compra. Uma tendência de queda unidirecional pode levar a posições presas, utilização de capital mais baixa e potenciais desvios da faixa definida.

Quais pares de negociação são adequados para o Grid spot?

Se você é novo no trading, recomenda-se que escolha moedas principais com bom consenso e alta liquidez, como BTC_USDT e ETH_USDT. Você pode consultar a situação de negociação dos 100 principais ativos digitais nas classificações do CMC na plataforma Gate. Se você tiver uma compreensão mais profunda do trading com Grid spot, pode tentar outros pares de negociação altamente volúveis para obter lucros mais altos.

3. Explicação dos Parâmetros do Grid spot

Terminologia do Grid spot:

Auto: Nesse modo, o AI Smart Grid utiliza dados históricos dos últimos 7 dias para testar e calcular automaticamente os parâmetros do grid que geram os maiores retornos: limite superior de preço, limite inferior de preço e número de grids. Os usuários só precisam escolher a proporção do valor do investimento (o valor selecionado deve ser maior ou igual ao mínimo).

Preencher Dados AI: Preenche automaticamente os dados para o AI Smart Grid.

Atalho “Limpar tudo”: Caso os usuários precisem limpar vários conjuntos de dados, podem usar esse atalho para evitar excluir manualmente cada um. Após clicar, basta redefinir os parâmetros.

Limite Inferior de Preço: O preço mínimo de compra. O bot não comprará se o preço do mercado cair abaixo desse preço. Além disso, o limite inferior de preço não pode executar vendas.

Limite Superior de Preço: O preço máximo de venda. O bot não venderá se o preço do mercado ultrapassar esse preço. Além disso, o limite superior de preço não pode executar compras.

Número de Grids: O número de grids a serem executados é limitado de 2 a 1000.

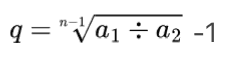
Espaçamento de Grid: Supondo que o espaçamento de grid seja q, o preço limite superior seja a1, o preço limite inferior seja a2 e o número de grids seja n, o espaçamento de grid aritmético que pode ser calculado usando a seguinte fórmula:

A fórmula para calcular a razão flutuante real q do grid geométrico é a seguinte (a razão do preço calculado real é 1+q):

Retorno por Grid

Supondo que o espaçamento do grid seja q, o preço superior do grid seja a1, o preço inferior do grid seja a2 e o número de grids seja n,

Retorno por Grid para Sequência Geométrica:

Retorno por Grid para Sequência Aritmética:

Quantidade de Compra/Venda por Grid: a quantidade da criptomoeda escolhida para cada compra e venda.

Incremento de Quantidade: O incremento de quantidade está desativado por padrão. Quando ativado, você pode aumentar a quantidade de compra e venda para cada grid por quantidade ou percentual, como mostrado na imagem.

Quando o Modo HODL é ativado, os usuários podem ver o histórico de negociação dos lucros trocados por moedas no registro HODL.

Observação: quando o lucro de um arbitragem de grid (compra e venda) for insuficiente para o valor mínimo de ordem do sistema, o lucro será armazenado temporariamente. Ele só comprará a moeda pelo preço mais recente do mercado assim que o lucro atingir o valor mínimo da ordem.

Lembrete Importante: você pode selecionar "Vender a Moeda Quando Terminar" e "Modo HODL" simultaneamente.

4.Como Criar/Encerrar o Grid spot

4.1 Como Criar um Grid spot

Existem três métodos:
Copiar um bot de backtest: Um iniciante pode escolher um bot de backtest de 7 dias/30 dias/180 dias na seção Recomendado. Um bot de backtest possui parâmetros definidos com base nas condições de mercado históricas e algoritmos inteligentes.

Seguir um fornecedor de bots: Se um bot de backtest não atender às suas necessidades, você pode filtrar os melhores desempenhos na seção Recomendado e seguir um fornecedor para negociar.

Customizar seu próprio bot: Você pode definir os parâmetros de acordo com seu julgamento do movimento do mercado e investir fundos para iniciar seu próprio bot grid.

Processo de Criação:

Site:
Bots - Bot Pool - Criar um Bot - Selecionar Grid spot - Criar Bot - Escolher Par de Negociação - Auto/Customizar - Criar


App:
Bots - Criar um Bot - Grid spot - Selecionar Par de Negociação - Recomendado/Customizar - Criar

**4.2 Como Encerrar o Grid spot** Você pode encerrar os bots de Grid spot a qualquer momento, mas observe que:

Os bots de Grid spot devem ser parados quando não corresponderem às condições atuais do mercado.

Os bots de Grid spot não são estratégias de tempo ultra curto; a maioria dos grids alcançará os retornos esperados após rodar por algum tempo.

O padrão "comprar baixo e vender alto" dos bots de Grid spot significa que a curva de rendimento do grid deve idealmente mostrar uma queda seguida de um aumento. Sofrer perdas no início é teoricamente normal sob essa estratégia.

5. Como Visualizar/Sacar o Lucro do Grid spot?

Site:

Entre em “Meus Bots” - Bots Ativos - Grid spot, e entre nas ordens de Grid spot para visualizar/sacar os lucros do Grid spot.

App:

Negociar - Bots - Meus Bots - Ativos - Entre nas ordens do Grid spot para visualizar/sacar os lucros do Grid spot.

## 6.Como Aumentar os Lucros do Grid spot Os Grids spot dividem os fundos em várias partes iguais, configurando faixas de preços e quantidades de grids. Eles compram estrategicamente em incrementos durante quedas e vendem em incrementos durante altas, extraindo continuamente lucros de grid em mercados volúveis. Então, como os lucros do Grid spot podem ser aumentados? Geralmente, o retorno dos Grids spot está intimamente ligado a fatores como a quantidade de grids, a faixa de grids e as taxas de negociação. Portanto, otimizar a quantidade de grids e configurações de faixa e minimizar as taxas de negociação pode maximizar os lucros do grid.

6.1 Definindo apropriadamente o Intervalo de preço do Grid

O intervalo de preço refere-se à faixa de flutuação dos preços ao longo de um período, definindo os limites superior e inferior dos preços. Se o intervalo de preço for muito estreito, ele permitirá que menos grids sejam configurados, aumentando o risco de as flutuações de preço ultrapassarem os limites, tornando a estratégia de grid ineficaz. Por outro lado, se o intervalo de preço for configurado muito amplo, pode resultar na perda de oportunidades de arbitragem no curto prazo, pois pequenas flutuações de preço são mais difíceis de capturar, perdendo assim lucros potenciais.

Para resolver esse problema, pode-se utilizar Bandas de Bollinger e os canais ATR, ou optar por candlesticks de longo prazo (tipicamente diários ou semanais) para configurar indicadores que auxiliem no julgamento. Tomando as Bandas de Bollinger como exemplo, seus limites superior e inferior correspondem aos preços de limite superior e inferior do grid. As Bandas de Bollinger incorporam o conceito de distribuição Gaussiana, assumindo que os preços irão flutuar em torno das bandas superior e inferior no futuro. Há uma baixa probabilidade de essas bandas serem quebradas. Uma vez que os preços ultrapassam essas bandas, é provável que retornem facilmente dentro das bandas. A probabilidade de os preços se moverem em direção às extremidades das bandas também é baixa. Usar as bandas superior e inferior das Bandas de Bollinger como os limites superior e inferior do intervalo de preço do grid é um método relativamente simples e direto.

No entanto, em um mercado unilateral de alta, a banda inferior das Bandas de Bollinger pode ter uma lacuna significativa, resultando em um grande desvio de todo o intervalo de preço do grid. Isso acaba reduzindo a utilização de fundos e a rentabilidade. Nesses momentos, também pode-se considerar o uso de canais ATR como indicador para determinar o intervalo de preço do grid. O gráfico abaixo mostra que os canais ATR não apresentam uma lacuna tão grande quanto as Bandas de Bollinger. Tipicamente, um canal ATR semanal pode ser usado como o limite superior e inferior do intervalo de preço do grid.

Dois Métodos para Determinar o Intervalo do Grid:

Usando Bandas de Bollinger

As Bandas de Bollinger consistem em três linhas: as bandas superior e inferior, que podem ser vistas como níveis de resistência e suporte para os preços, com uma linha média representando o preço médio. Tipicamente, a linha de preço oscila dentro da região em forma de banda formada pelas bandas superior e inferior, e a posição dessas bandas se ajusta automaticamente com os movimentos dos preços. Bandas estreitas frequentemente precedem movimentos de preços acentuados, enquanto atravessamentos dos limites das bandas seguidos de retrações imediatas indicam possíveis reversões.

Método: Identifique diretamente os limites superior e inferior das Bandas de Bollinger (boll) e selecione-os como referências para os limites superior e inferior de preço, com base no período correspondente. Geralmente, quanto maior o desvio padrão das Bandas de Bollinger, maior será o intervalo de preços envolvido. A aplicação das Bandas de Bollinger sob condições de 2 e 3 desvios padrão é mostrada na figura abaixo. Ela ilustra que o intervalo de preços coberto por 3 desvios padrão é maior do que o coberto por 2.

Imagem 1: 2 desvios padrão

Imagem 2: 3 Desvios padrão

Usando o Índice de Volatilidade Média (ATR)

O ATR é a média móvel da volatilidade de preços ao longo de um período especificado. Um ATR mais alto indica um maior potencial para mudanças de tendência, enquanto um ATR mais baixo sugere movimentos de tendência mais fracos. Ele é principalmente utilizado para avaliar oportunidades de compra e venda.

Método: use os limites superior e inferior do ATR dentro do período correspondente como os limites superior e inferior do intervalo do grid. Por exemplo, ATR(7) representa a volatilidade verdadeira média dos últimos 7 dias, e esses limites superior e inferior podem ser usados como os limites do intervalo de preços do grid. Como mostrado no diagrama abaixo:


6.2 Definindo Apropriadamente a Quantidade de Grids

A quantidade de grids refere-se ao número de intervalos de preço entre os limites superior e inferior de preço. Normalmente, as quantidades de grids variam de 2 a 200. O lucro do grid é calculado como diferença de preço do grid × a quantidade de grids comprados × a quantidade de ordens de venda preenchidas.

O número de grids afeta a frequência de negociação. Configurar grids em demasia pode levar a negociações excessivamente frequentes, enquanto configurar poucos grids pode resultar em menos oportunidades de negociação.

Especificamente, mais grids significam intervalos mais densos e maior frequência de negociação, capturando flutuações de preço menores mais frequentemente. No entanto, isso pode reduzir a rentabilidade por grid devido a valores de negociação menores, menor utilização de capital e aumento das taxas devido a negociações frequentes.

Por outro lado, menos grids significam intervalos mais espaçados e menor frequência de negociação, perdendo flutuações de preço menores. No entanto, isso pode aumentar a rentabilidade por grid, melhorar a utilização de capital e reduzir as taxas de negociação devido a negociações menos frequentes.

As diferenças causadas pela quantidade de grids são ilustradas no exemplo abaixo sob condições semelhantes. Suponha que um usuário abra uma ordem de grid para BTC/USDT com o preço limite superior configurado em 7000 USDT, o preço limite inferior configurado em 1000 USDT, e posições iniciais em 6800 USDT.

Imagem 1

Na Figura 1, as ordens de grid são colocadas com 5 linhas de grid configuradas entre os limites superior e inferior, com intervalos de 2000, 3000, 4000, 5000 e 6000. As ordens de compra são feitas em 6000, 5000, 4000 e 3000 quando os preços do BTC flutuam, e as ordens de venda são feitas em 3000, 4000, 6000 e 7000.

Esse padrão continua, com cada ordem de venda colocada abaixo do preço atual. A estratégia é pausada quando os preços do BTC ultrapassam 7000 ou caem abaixo de 1000. A estratégia retoma a negociação quando os preços do BTC retornam à faixa de preço do grid.

Na Figura 1, observa-se que a curva de preços da negociação em grid flutua para cima e para baixo, cruzando as linhas de grid um total de 27 vezes. Isso significa 27 operações de compra e venda, capturando 27 flutuações de preço e obtendo lucros de 13 desses movimentos. No entanto, devido ao capital disponível por grid ser de 1000U, o lucro por grid é menor em comparação com a Figura 2, e há taxas de transação para todas as 27 negociações.

Imagem 2

Na Figura 2, há 2 linhas de grid entre os limites superior e inferior, ou seja: preços de 3000 e 5000. As ordens de compra são feitas a preços do BTC de 5000 e 3000, e as ordens de venda são feitas a preços de 3000, 5000 e 7000. Da mesma forma, cada ordem de venda será acompanhada por uma ordem de compra.

A estratégia será pausada quando o preço do BTC subir acima de 7000 ou cair abaixo de 1000. A estratégia retoma a negociação quando o preço do BTC cai de volta para a faixa de preço do grid. Como mostrado na Figura 2, a curva de preços se cruza com as linhas de grid 13 vezes, o que significa que a negociação em grid executou 13 operações de compra e venda, capturando 13 flutuações de preço e ganhando lucros de 13 flutuações. No entanto, como o fundo disponível por grid é de 2000 USDT, o retorno por grid é maior do que na Figura 1, mas a estratégia incorrerá em 13 taxas de negociação.

Comparando as Figuras 1 e 2, é evidente que menos linhas de grid capturam menos flutuações do mercado. Na Figura 2, devido ao maior espaçamento do grid, perderam-se as oportunidades de capturar flutuações nos níveis de preço de 2000, 4000 e 6000, resultando na perda de alguns lucros de flutuação. Por outro lado, a Figura 1 mostra uma menor utilização de fundos por grid e taxas de negociação mais altas devido à negociação frequente, resultando em menores retornos por grid. Portanto, tanto menos como mais linhas de grid têm seus prós e contras. Assim, a quantidade de grids precisa ser equilibrada e ajustada com base no período de tempo e nos objetivos de negociação.

6.3 Reduzindo as taxas

Rendimento do Grid = taxa de arbitragem do grid - taxas de negociação x 2

O lucro de arbitragem do grid é apenas o lucro bruto e deve excluir as taxas de negociação incorridas na arbitragem. O valor restante é o lucro líquido da estratégia de grid. Portanto, os usuários devem minimizar as taxas de negociação para aumentar o rendimento líquido/do grid.

As taxas de negociação podem ser reduzidas das seguintes maneiras:

Escolher criptomoedas com taxas mais baixas. Por exemplo, a Gate oferece algumas moedas com taxas zero, como BTC-USDT.

Atualizar seu nível VIP para reduzir as taxas de negociação.

Negociar Futuros Perpétuos com boa liquidez em vez de spot trading.

Gerenciar efetivamente o range e a quantidade do grid para reduzir negociações desnecessárias. O range do grid, a quantidade do grid e as taxas de negociação estão interconectados, portanto, definir um range e uma quantidade apropriados é crucial.

7. O Grid Spot agora tem funções de Trailing Grid adicionais

A Gate Bots adicionou um novo recurso importante: o Grid spot agora inclui uma nova função nas configurações avançadas, que é o Trailing Grid, permitindo que o bot mova automaticamente o range de preços para cima ou para baixo, adaptando-se às mudanças do mercado.

Explicação do Trailing Grid

Após a execução do grid, se o preço ultrapassar o range do grid, o bot ativará a “Função Trailing” do grid. Isso significa que, à medida que o preço médio aumenta, tanto os limites superior quanto inferior do range do grid se moverão automaticamente para cima, evitando efetivamente a perda de oportunidades em um mercado em alta ou sendo preso em uma tendência de baixa.

Características do Trailing Grid

Primeiro, o movimento dos preços mais altos e mais baixos do range do grid é consistente. Por exemplo, se o preço mais alto do grid subir 10%, o preço mais baixo também subirá 10%.

Segundo, após o movimento do grid, o número de grids permanece inalterado.

Terceiro, como o número de grids não muda quando o grid se move, a taxa de lucro por grid permanece a mesma, podendo ser calculada de acordo com a fórmula atual.

Condições de acionamento para o Trailing Grid

Quando os bots abrem uma posição (ou ajustam o range de preço), ele ajustará automaticamente o range de preço para cima ou para baixo sempre que o preço mais recente estiver fora do range do grid e a variação percentual da média móvel de 720 minutos atingir a razão definida. Uma mudança para cima na média móvel de 720 minutos acionará um ajuste para cima do grid, enquanto uma mudança para baixo acionará um ajuste para baixo.

![](https://gimg.staticimgs.com/image/article/1724147553en22.png)

Como ativar o Trailing Grid?

Página Inicial dos Bots - Grid spot - Clique em "Bots" - Grid Bots - Grid spot - Personalizar - Configurações Avançadas - Preencha os parâmetros para o Trailing Grid

**A Gate reserva a interpretação final deste produto.**

O conteúdo aqui fornecido é apenas para fins de referência e educacionais e não constitui qualquer conselho financeiro, de investimento, de negociação ou jurídico, nem constitui uma oferta ou solicitação para comprar ou vender quaisquer ativos digitais. A Gate não faz representações ou garantias expressas ou implícitas em relação à precisão, integridade ou atualidade das informações aqui contidas. Recursos, interfaces, regras e estruturas de taxas dos produtos podem ser atualizados ou ajustados a qualquer momento. Consulte os anúncios mais recentes e as informações reais exibidas na plataforma Gate para obter os detalhes mais precisos.
Os investimentos em ativos digitais envolvem riscos significativos e os preços podem flutuar substancialmente. Você pode perder o valor total do seu investimento. Tome decisões com cautela, com base em sua própria situação financeira e tolerância ao risco, após compreender totalmente os riscos associados. Se necessário, recomenda-se consultar um consultor financeiro ou jurídico profissional independente.
Para mais informações sobre possíveis riscos, consulte a Divulgação de Riscos e o Termo de Acordo do Usuário da Gate.
Inscreva-se agora para ter a chance de ganhar até $10,000!
signup-tips