1.Bot Giao ngay Lưới là gì?
Bot giao dịch Giao ngay Lưới là bot giao dịch tự động được thiết kế để bán cao và mua thấp trong các thị trường dao động.
Một bot sẽ hoạt động cho bạn ngay khi bạn hoàn tất việc thiết lập tham số.
Khi đã bắt đầu, bot sẽ chia khoản đầu tư của bạn thành nhiều phần, mua vào theo từng giai đoạn khi giá giảm và bán ra theo từng giai đoạn khi giá tăng, liên tục tận dụng sự biến động của thị trường để đạt được lợi nhuận thông qua việc mua thấp và bán cao.
2.Giải thích về Giao dịch lưới giao ngay
Lợi thế:
Các bot Giao dịch lưới Giao ngay thân thiện với người mới không có cảm xúc con người như sợ hãi hay tham lam, tránh việc bán tháo mà quyết định cảm xúc gây ra trong các thị trường biến động. Bot hoạt động 24/7, đảm bảo không bỏ lỡ bất kỳ cơ hội giao dịch nào.
1.Trong các thị trường biến động và đang tăng: người dùng có thể đạt được lợi nhuận gấp đôi từ giá coin tăng và chênh lệch do biến động.
- Trong các thị trường biến động và giảm: người dùng có thể giảm thiểu tổn thất thông qua chênh lệch giá biến động.
Nhược điểm:
Tuy nhiên, Giao dịch lưới giao ngay không phải lúc nào cũng hữu ích, vì nó chỉ có thể theo lệnh long. Một xu hướng giảm một chiều có thể dẫn đến việc bị mắc kẹt trong các vị trí, sử dụng vốn thấp hơn và khả năng sai lệch khỏi phạm vi đã đặt.
Cặp giao dịch nào phù hợp cho Giao dịch lưới giao ngay?
Nếu bạn là người mới trong giao dịch, nên chọn những coin mainstream có sự đồng thuận tốt và thanh khoản cao, chẳng hạn như BTC_USDT và ETH_USDT. Bạn có thể tham khảo tình hình giao dịch của 100 tài sản kỹ thuật số hàng đầu trên bảng xếp hạng CMC trên nền tảng Gate. Nếu bạn có hiểu biết sâu hơn về Giao dịch lưới, bạn có thể thử các cặp giao dịch có độ biến động cao khác để kiếm lợi nhuận cao hơn.
3.Giải thích Tham số Giao dịch lưới Giao ngay
Thuật ngữ Giao dịch lưới giao ngay:
Tự động: Trong chế độ này, AI Smart Grid sử dụng dữ liệu lịch sử từ 7 ngày trước để kiểm tra lại và tự động tính toán các thông số lưới mang lại lợi nhuận cao nhất: giới hạn giá trên, giới hạn giá dưới và số lượng lưới. Người dùng chỉ cần chọn tỷ lệ số tiền đầu tư (số tiền đầu tư được chọn phải lớn hơn hoặc bằng mức tối thiểu).
Điền dữ liệu AI: Tự động lấy và điền dữ liệu cho Giao dịch lưới thông minh AI.
Phím tắt "Xóa tất cả": Nếu người dùng cần xóa nhiều bộ dữ liệu, họ có thể sử dụng phím tắt này để tránh việc xóa từng bộ một một cách thủ công. Sau khi nhấp vào, chỉ cần đặt lại các tham số.
Giới hạn giá thấp hơn: Giá mua tối thiểu. Bot sẽ không mua nếu giá thị trường giảm xuống dưới giá này. Thêm vào đó, giới hạn giá dưới không thể thực hiện bán.
Giới hạn giá trên: Giá bán tối đa. Bot sẽ không bán ra nếu giá thị trường vượt quá giá này. Thêm vào đó, giới hạn giá trên không thể thực hiện việc mua.
Số lượng lưới: Số lượng lưới để thực hiện bị giới hạn từ 2 đến 1000.
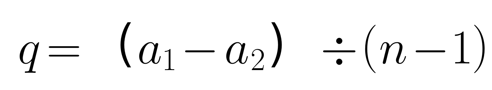
Giao dịch lưới: Giả sử khoảng cách lưới là q, giá giới hạn trên là a1, giá giới hạn dưới là a2, và số lượng lưới là n, khoảng cách lưới số học q có thể được tính bằng công thức sau:

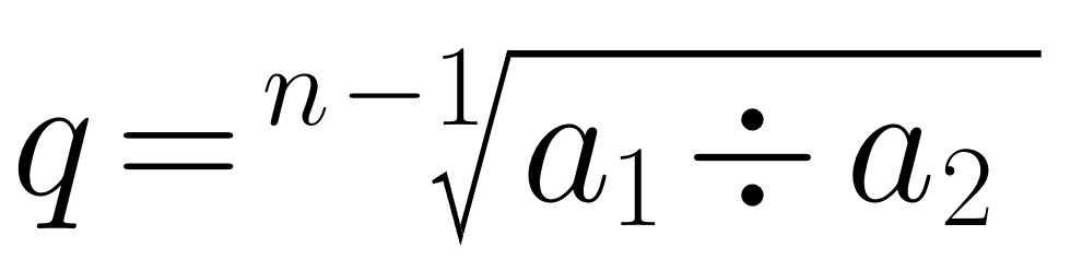
Công thức để tính toán tỷ lệ nổi thực tế q của lưới hình học như sau:
Lợi nhuận trên mỗi lưới
Giả sử khoảng cách lưới là q, giá lưới trên là a1, giá lưới dưới là a2, và số lượng lưới là n,
Lợi nhuận trên mỗi lưới cho chuỗi hình học:

Lợi nhuận trên mỗi lưới cho chuỗi số học:

Mua/bán số lượng mỗi lưới: số lượng của đồng crypto đã chọn cho mỗi giao dịch mua và bán.
Tăng số lượng: Sự gia tăng số lượng là tắt theo mặc định. Khi được kích hoạt, bạn có thể tăng số lượng mua và bán cho mỗi lưới theo số lượng hoặc phần trăm, như hiển thị trong hình ảnh.

Khi chế độ HODL được bật, người dùng có thể xem lịch sử giao dịch của lợi nhuận được đổi sang coin trong hồ sơ HODL.

Lưu ý: khi lợi nhuận từ một giao dịch chênh lệch lưới (mua và bán) không đủ cho mức lệnh tối thiểu của hệ thống, lợi nhuận sẽ được lưu trữ tạm thời. Chúng chỉ mua coin khi lợi nhuận đạt đến mức lệnh tối thiểu với giá thị trường mới nhất.
Nhắc nhở ấm: bạn có thể chọn "Bán tiền tệ khi nó kết thúc" và "Chế độ HODL" cùng một lúc.
4.Cách Tạo/Kết Thúc Giao Dịch Lưới Giao Ngay
4.1Cách Tạo Giao Dịch Lưới Giao Ngay
Có ba phương pháp:
1.Sao chép một bot kiểm tra lại: Một người mới có thể chọn một bot kiểm tra lại 7 ngày/30 ngày/180 ngày trong phần Được khuyến nghị. Một bot kiểm tra lại có các tham số được thiết lập dựa trên điều kiện thị trường lịch sử và các thuật toán thông minh;
2.Theo dõi một nhà cung cấp bot: Nếu một bot kiểm tra lại không đáp ứng nhu cầu của bạn, bạn có thể lọc ra những người hoạt động tốt nhất trong phần Được khuyến nghị và theo dõi một nhà cung cấp để giao dịch;
3.Tùy chỉnh bot của bạn: Bạn có thể đặt tham số theo phán đoán của bạn về chuyển động của thị trường, và đầu tư quỹ để bắt đầu bot lưới của riêng bạn.
Quá trình tạo ra:
Web:
Bots - Hồ bơi bot - Tạo bot - Chọn Giao dịch lưới - Tạo bot - Chọn cặp giao dịch - Tự động/Tùy chỉnh - Tạo

APP:
Bots - Tạo Bot - Giao ngay Lưới - Chọn Cặp Giao dịch - Đề xuất/Tùy chỉnh - Tạo


4.2 Cách kết thúc Giao dịch lưới giao ngay
Bạn có thể chấm dứt các bot Giao dịch lưới bất kỳ lúc nào, nhưng xin lưu ý:
1.Bot Giao dịch lưới giao ngay nên được dừng lại khi chúng không phù hợp với điều kiện thị trường hiện tại.
2.Bots Giao dịch lưới không phải là chiến lược siêu ngắn hạn; hầu hết các lưới sẽ đạt được lợi nhuận mong đợi sau khi hoạt động một thời gian.
3.Mô hình "mua thấp và bán cao" của bot Giao dịch lưới có nghĩa là đường cong lợi suất của lưới nên lý tưởng là cho thấy sự giảm xuống tiếp theo là sự tăng lên. Việc chịu lỗ ở giai đoạn đầu theo lý thuyết là bình thường dưới chiến lược này.
5.Cách xem/rút lợi nhuận Giao dịch lưới?
Web:
Nhập "Bots của tôi" - Bots đang hoạt động - Giao dịch lưới giao ngay, và nhập các lệnh Giao dịch lưới giao ngay để xem/rút lợi nhuận Giao dịch lưới giao ngay.
APP:
Giao dịch - Bot - Bot của tôi - Đang hoạt động - Nhập lệnh Giao ngay để hiển thị/rút lợi nhuận giao ngay.



6.Cách Tăng Lợi Nhuận Giao Dịch Lưới Giao Ngay
Giao dịch lưới Giao ngay chia vốn thành nhiều phần bằng nhau bằng cách thiết lập các mức giá và số lượng lưới. Chúng mua vào theo từng mức trong thời gian giảm và bán ra theo từng mức trong thời gian tăng, liên tục rút lợi nhuận từ lưới trong các thị trường biến động. Vậy, làm thế nào để tăng lợi nhuận từ giao dịch lưới Giao ngay? Nói chung, lợi nhuận từ Giao dịch lưới Giao ngay gắn liền với các yếu tố như số lượng lưới, phạm vi lưới và phí giao dịch. Do đó, tối ưu hóa số lượng lưới và cài đặt phạm vi và giảm thiểu phí giao dịch có thể tối đa hóa lợi nhuận từ lưới.
6.1 Đặt khoảng lưới một cách phù hợp
Phạm vi lưới đề cập đến khoảng dao động của giá trong một khoảng thời gian, xác định giới hạn trên và dưới của giá. Nếu khoảng giá quá hẹp, nó cho phép ít lưới được thiết lập hơn, tăng rủi ro của việc dao động giá vượt ra ngoài khoảng và làm cho chiến lược lưới không hiệu quả. Ngược lại, nếu khoảng giá được thiết lập quá rộng, nó có thể dẫn đến việc bỏ lỡ cơ hội chênh lệch trong thời gian ngắn, vì những dao động giá nhỏ khó bị nắm bắt hơn, do đó bỏ lỡ lợi nhuận tiềm năng.
Để giải quyết vấn đề, người ta có thể sử dụng Dải Bollinger và kênh ATR, hoặc chọn nến thời gian dài hơn (thường là hàng ngày hoặc hàng tuần) để thiết lập các chỉ báo hỗ trợ trong việc phán đoán. Lấy Dải Bollinger làm ví dụ, các khoảng giới hạn trên và dưới của nó tương ứng với giá giới hạn trên và dưới của lưới. Dải Bollinger bao gồm khái niệm phân phối Gaussian, giả định rằng giá sẽ dao động xung quanh các dải trên và dưới trong tương lai. Có khả năng thấp để các dải này bị phá vỡ. Khi giá phá vỡ, chúng sẽ có khả năng trở lại trong các dải một cách dễ dàng. Khả năng giá di chuyển về phía các mép của các dải cũng thấp. Sử dụng các dải trên và dưới của Dải Bollinger làm giới hạn trên và dưới của khoảng lưới là một phương pháp tương đối đơn giản và trực tiếp.
Tuy nhiên, trong một thị trường tăng giá đơn phương, dải dưới của Dải Bollinger có thể có một khoảng trống đáng kể, dẫn đến sự sai lệch lớn của toàn bộ phạm vi lưới. Điều này cuối cùng làm giảm khả năng sử dụng vốn và giảm lợi nhuận. Vào những lúc như vậy, người ta cũng có thể xem xét sử dụng các kênh ATR như một chỉ báo để xác định phạm vi lưới. Biểu đồ dưới đây cho thấy rằng các kênh ATR không hiển thị khoảng trống lớn như Dải Bollinger. Thông thường, một kênh ATR hàng tuần có thể được sử dụng làm giới hạn trên và dưới của phạm vi lưới.
Hai phương pháp để xác định phạm vi lưới:
1.Sử dụng Dải Bollinger
Dải Bollinger bao gồm ba đường: dải trên và dải dưới, có thể được coi là mức kháng cự và hỗ trợ cho giá, với một đường giữa đại diện cho giá trung bình. Thông thường, đường giá dao động trong vùng hình dải được hình thành bởi dải trên và dải dưới, và vị trí của các dải này tự động điều chỉnh theo chuyển động giá. Các dải thu hẹp thường xuất hiện trước các chuyển động giá sắc nét, trong khi việc cắt qua các ranh giới dải tiếp theo là sự điều chỉnh ngay lập tức cho thấy khả năng đảo chiều.
Phương pháp: Xác định trực tiếp dải trên và dải dưới của Dải Bollinger (boll) và chọn chúng làm tham chiếu cho giới hạn giá trên và dưới dựa trên khoảng thời gian tương ứng. Thông thường, độ lệch chuẩn của Dải Bollinger càng lớn thì khoảng giá liên quan càng rộng. Việc áp dụng Dải Bollinger dưới các điều kiện 2 và 3 độ lệch chuẩn được hiển thị trong hình dưới đây. Nó minh họa rằng khoảng giá được bao phủ bởi 3 độ lệch chuẩn lớn hơn khoảng giá được bao phủ bởi 2.
Hình ảnh 1: 2 Độ lệch chuẩn

Hình 2: 3 độ lệch chuẩn
2.Sử dụng Đường trung bình thực (ATR)
ATR là trung bình động của biến động giá trong một khoảng thời gian xác định. ATR cao cho thấy tiềm năng cao hơn cho sự thay đổi xu hướng, trong khi ATR thấp cho thấy chuyển động xu hướng yếu hơn. Nó chủ yếu được sử dụng để đánh giá cơ hội mua và bán.
Phương pháp: sử dụng giới hạn trên và dưới của ATR trong khoảng thời gian tương ứng làm giới hạn trên và dưới của phạm vi lưới. Ví dụ, ATR(7) đại diện cho độ biến động trung bình thực tế trong 7 ngày qua, và các giới hạn trên và dưới này có thể được sử dụng làm ranh giới phạm vi lưới. Như được hiển thị trong sơ đồ bên dưới:

6.2 Đặt số lượng lưới một cách hợp lý
Số lượng lưới đề cập đến số khoảng giá giữa các giới hạn giá trên và dưới. Thông thường, số lượng lưới dao động từ 2 đến 200. Lợi nhuận từ lưới được tính toán bằng chênh lệch giá lưới ×, số lượng lưới đã mua ×, số lượng lệnh bán đã được thực hiện.
Số lượng lưới ảnh hưởng đến tần suất giao dịch. Việc thiết lập quá nhiều lưới có thể dẫn đến giao dịch quá thường xuyên, trong khi việc thiết lập quá ít có thể dẫn đến ít cơ hội giao dịch hơn.
Cụ thể, nhiều lưới hơn nghĩa là khoảng cách dày đặc hơn và tần suất giao dịch cao hơn, nắm bắt các biến động giá nhỏ thường xuyên hơn. Tuy nhiên, điều này có thể làm giảm lợi nhuận trên mỗi lưới do số lượng giao dịch nhỏ hơn, tỷ lệ sử dụng vốn thấp hơn và phí tăng lên từ các giao dịch thường xuyên.
Ngược lại, ít lưới hơn có nghĩa là khoảng cách thưa thớt hơn và tần suất giao dịch thấp hơn, bỏ lỡ những chuyển động giá nhỏ. Tuy nhiên, điều này có thể tăng khả năng sinh lời mỗi lưới, cải thiện việc sử dụng vốn và giảm phí giao dịch từ việc ít giao dịch hơn.
Sự khác biệt do số lượng lưới gây ra được minh họa trong ví dụ dưới đây dưới điều kiện tương tự. Giả sử một người dùng mở một lệnh lưới cho BTC/USDT với mức giá giới hạn trên được đặt ở 7000 USDT, mức giá giới hạn dưới được đặt ở 1000 USDT, và vị trí ban đầu ở 6800 USDT.
Hình ảnh 1
Trong Hình 1, các lệnh giao dịch lưới được đặt với 5 đường lưới đặt giữa các giới hạn trên và dưới với khoảng cách là 2000, 3000, 4000, 5000 và 6000. Các lệnh mua được đặt ở mức 6000, 5000, 4000 và 3000 khi giá BTC dao động, và các lệnh bán được đặt ở mức 3000, 4000, 6000 và 7000.
Mô hình này tiếp tục, với mỗi lệnh bán được đặt dưới mức giá hiện tại. Chiến lược tạm dừng khi giá BTC vượt quá 7000 hoặc giảm xuống dưới 1000. Chiến lược tiếp tục giao dịch khi giá BTC trở lại phạm vi giá lưới.
Từ Hình 1, có thể thấy rằng đường giá của giao dịch lưới dao động lên xuống, giao với các đường lưới đã đặt tổng cộng 27 lần. Điều này có nghĩa là 27 hoạt động mua và bán, nắm bắt 27 dao động giá và thu lợi từ 13 trong số những chuyển động này. Tuy nhiên, do vốn khả dụng mỗi lưới là 1000U, lợi nhuận mỗi lưới thấp hơn so với Hình 2, và có các khoản phí giao dịch phát sinh cho cả 27 giao dịch.
Image 2
Trong Hình 2, có 2 đường lưới giữa giới hạn trên và giới hạn dưới, đó là: giá 3,000 và 5,000. Lệnh mua được đặt ở mức giá BTC là 5,000 và 3,000, và lệnh bán được đặt ở mức giá 3,000, 5,000 và 7,000. Tương tự, mỗi lệnh bán sẽ đi kèm với một lệnh mua.
Chiến lược sẽ tạm dừng khi giá BTC vượt quá 7,000 hoặc giảm xuống dưới 1,000. Chiến lược sẽ tiếp tục giao dịch khi giá BTC quay lại phạm vi giá lưới. Như được hiển thị trong Hình 2, đường giá cắt với các đường lưới 13 lần, có nghĩa là giao dịch lưới đã thực hiện 13 hoạt động mua và bán, nắm bắt 13 biến động giá và kiếm được lợi nhuận từ 13 biến động. Tuy nhiên, vì số tiền có sẵn cho mỗi lưới là 2,000 USDT, lợi nhuận trên mỗi lưới cao hơn so với Hình 1, nhưng chiến lược phát sinh 13 phí giao dịch.
So sánh Hình 1 và Hình 2, rõ ràng là ít đường lưới hơn sẽ nắm bắt được ít biến động của thị trường hơn. Trong Hình 2, do khoảng cách lưới lớn, nó đã bỏ lỡ cơ hội để nắm bắt biến động ở các mức giá 2,000, 4,000 và 6,000, dẫn đến việc bỏ lỡ một số lợi nhuận từ biến động. Mặt khác, Hình 1 cho thấy mức sử dụng quỹ thấp hơn trên mỗi lưới và phí giao dịch cao hơn do giao dịch thường xuyên, dẫn đến lợi nhuận thấp hơn trên mỗi lưới. Do đó, cả hai số lượng đường lưới ít và nhiều đều có ưu và nhược điểm riêng. Vì vậy, số lượng lưới cần được cân bằng và điều chỉnh dựa trên khoảng thời gian và mục tiêu giao dịch.
6.3 Giảm phí
Lợi suất lưới = tỷ lệ chênh lệch lưới - phí giao dịch x 2
Lợi nhuận từ chênh lệch lưới chỉ là lợi nhuận gộp và phải loại trừ các khoản phí giao dịch phát sinh từ chênh lệch. Số tiền còn lại là lợi nhuận ròng từ chiến lược lưới. Do đó, người dùng nên giảm thiểu phí giao dịch để nâng cao lợi suất ròng/lưới của họ.
Phí giao dịch có thể được giảm bớt theo các cách sau:
1.Chọn các loại tiền điện tử có phí thấp hơn. Ví dụ, Gate cung cấp một số loại tiền tệ với phí bằng không, chẳng hạn như BTC-USDT.
2.Nâng cấp cấp độ VIP của bạn để giảm phí giao dịch.
-
Giao dịch Hợp đồng tương lai vĩnh viễn với thanh khoản tốt thay vì giao dịch giao ngay.
-
Quản lý hiệu quả phạm vi lưới và số lượng để giảm giao dịch không cần thiết. Phạm vi lưới, số lượng lưới và phí giao dịch có mối liên hệ với nhau, vì vậy việc thiết lập phạm vi và số lượng phù hợp là rất quan trọng.
7.Giao dịch lưới giao ngay đã thêm chức năng lưới theo sau
Gate Bots đã thêm một tính năng mới quan trọng: Giao dịch lưới giao ngay hiện đã bao gồm một chức năng mới trong cài đặt nâng cao, đó là Lưới theo dõi, cho phép bot tự động di chuyển khoảng giá lên hoặc xuống để thích ứng với những thay đổi của thị trường.
Giải thích về Giao dịch lưới theo dõi
Sau khi chạy lưới, nếu giá vượt qua khoảng lưới, bot sẽ kích hoạt "Chức năng Theo dõi" của lưới. Điều này có nghĩa là khi giá trung bình tăng lên, cả giới hạn trên và dưới của khoảng lưới sẽ tự động di chuyển lên, hiệu quả tránh bỏ lỡ cơ hội trong thị trường đang tăng hoặc bị mắc bẫy trong xu hướng giảm.
Các tính năng của Giao dịch lưới theo sau
Đầu tiên, chuyển động của mức giá cao nhất và thấp nhất của khoảng lưới là nhất quán. Ví dụ, nếu mức giá cao nhất của lưới tăng lên 10%, thì mức giá thấp nhất cũng sẽ tăng lên 10%.
Thứ hai, sau khi lưới di chuyển, số lượng lưới vẫn không thay đổi.
Thứ ba, vì số lượng lưới không thay đổi khi lưới di chuyển, tỷ lệ lợi nhuận trên mỗi lưới vẫn giữ nguyên, có thể được tính toán theo công thức hiện tại.
Điều kiện kích hoạt cho Giao dịch lưới theo xu hướng
Khi các bot mở một vị trí (hoặc điều chỉnh khoảng giá), nó sẽ tự động điều chỉnh khoảng giá lên hoặc xuống mỗi khi giá mới nhất nằm ngoài khoảng lưới và tỷ lệ phần trăm thay đổi của trung bình động 720 phút đạt tỷ lệ đã đặt. Một sự thay đổi tăng trong trung bình động 720 phút sẽ kích hoạt một điều chỉnh tăng của lưới, trong khi một sự thay đổi giảm sẽ kích hoạt một điều chỉnh giảm.

Cách kích hoạt lưới giao dịch theo dõi?
Trang chủ Bots - Giao dịch lưới giao ngay - Nhấp vào "Bots" - Bot lưới - Giao dịch lưới giao ngay - Tùy chỉnh - Cài đặt nâng cao - Điền các tham số cho lưới theo dõi


Gate giữ quyền giải thích cuối cùng về sản phẩm này.
